Class.net Help > Accounting/Ledger > Fixed Reports >
Home Stay Accruals
PreviousNext

Home Stay Accruals

 

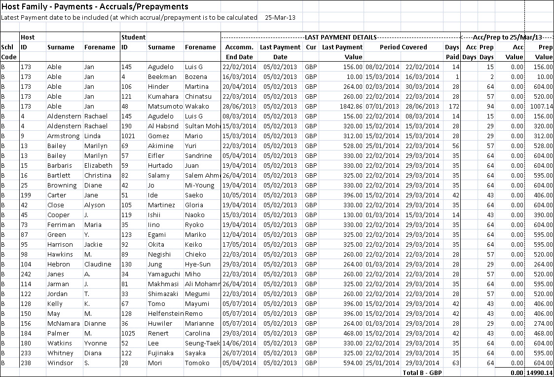
This provides the accountant with an accrual/prepayment list for accommodation prepayments.

 

Date
ANY date can be entered, typically a period end.
So for example, a report could be taken out 3 months or 3 years in arrears! 

Calculation:

1. The system ignores HF payment runs after the entered date.

2. The system checks that the student was in accommodation between the payment date entered above and the last payment to the family prior to the date above.

3. If the HF payment was the final payment, then no accrual/prepayment is required.

4. If the last payment date is less than the date above, an accrual will be calculated for the period up to the date above. The calculation will be a pro rata amount based on the last payment. It therefore cannot take into consideration possible seasonal price changes.

5. If the last payment date is greater than the date above, a prepayment will be calculated for the period from the date above. The calculation will be a pro rata amount based on the last payment. It therefore cannot take into consideration possible seasonal price changes.

Report:

 

The report is sub-totalled by School Code


Copyright 2013 Infospeed Limited